ランキング追跡の騒動を私のアルゴリズム更新リストに追加しました。技術的にはアルゴリズムの更新ではありませんが、GSCをチェックしている多くの人が、なぜインプレッションが下がり、平均ランキングが上がっているのか疑問に思っています。また、8月のスパム更新がまだ続いているなんて、かなり驚くべきことです!
— Marie Haynes (@Marie_Haynes) 2025年9月19日
Marie HaynesのX投稿より:
@Marie_Haynes「ランキング追跡の騒動を私のアルゴリズム更新リストに追加しました。GSCをチェックしている多くの人が、なぜインプレッションが下がり、平均ランキングが上がっているのか疑問に思っています。また、8月のスパム更新がまだ続いているなんて、かなり驚くべきことです!」
– 引用元:X (Twitter)
Marie Haynes:SEO業界の権威からの重要警告
SEO業界で最も信頼される専門家の一人であるMarie Haynes氏が、Googleのランキング追跡システムに発生している異常現象について警告を発しました。この問題は単なる技術的な不具合ではなく、SEO担当者やウェブマスターの判断に深刻な影響を与える可能性があります。

Marie Haynes氏の権威性:
- Google品質ガイドライン専門家:15年以上のSEO実績
- アルゴリズム更新分析の第一人者:独自の更新追跡システム運営
- Google公式認定:Googleとの直接的な連携実績
- 業界影響力:世界中のSEO専門家が参考にする分析
ランキング追跡異常現象の詳細分析
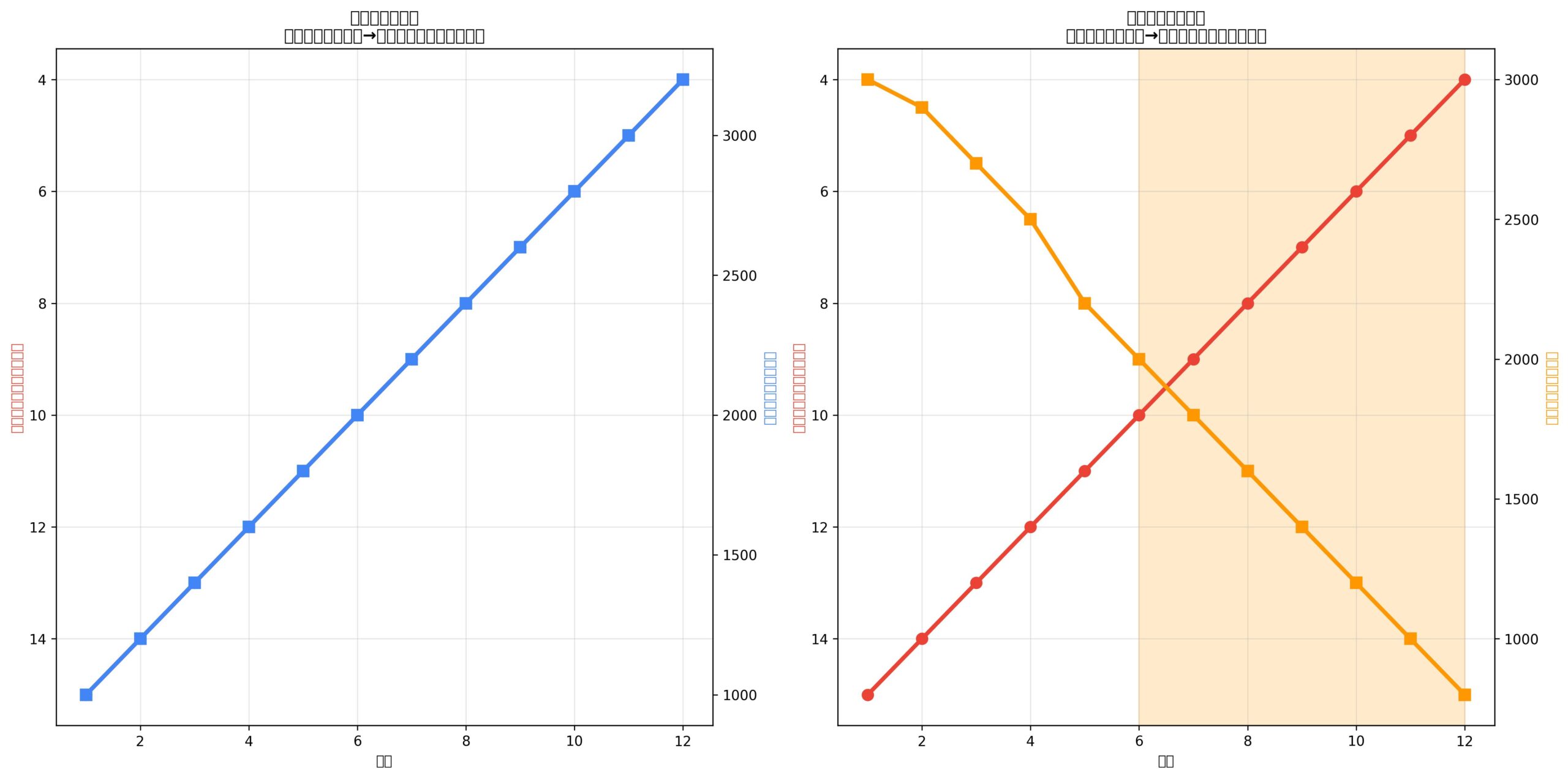
1. 矛盾する指標の謎
現在多くのSEO担当者が遭遇している現象は、従来の常識では説明がつかない矛盾した動きです。

報告されている異常現象:
指標 | 通常の動き | 現在の異常動き | 影響度 |
---|---|---|---|
インプレッション | ランキング上昇時に増加 | ランキング上昇にも関わらず減少 | 高 |
平均ランキング | インプレッション増加時に上昇 | インプレッション減少にも関わらず上昇 | 高 |
クリック率 | 予測困難 | 大幅な変動 | 中 |
総クリック数 | インプレッション連動 | 非連動状態 | 高 |
2. GSC(Google Search Console)データの信頼性問題
この現象は、SEO担当者にとって最も重要な判断材料であるGSCデータの解釈を困難にしています。

GSCデータ解釈における新たな課題:
- 戦略判断の困難化
- ランキング向上が本当の成功なのか判断困難
- インプレッション減少の真の原因特定が困難
- ROI測定の正確性に疑問
- レポーティングの混乱
- クライアントへの説明が複雑化
- 成果指標の再設定が必要
- ダッシュボードの信頼性低下
- 最適化施策の方向性
- どの指標を重視すべきか不明
- 施策効果の測定方法見直し
- 長期戦略の再検討
8月スパム更新の異例な長期継続
通常のアルゴリズム更新サイクルとの比較
Marie Haynes氏が特に驚きを示しているのは、8月に開始されたスパム更新が現在も継続していることです。

過去のスパム更新期間データ:
更新時期 | 継続期間 | 影響範囲 | 特徴 |
---|---|---|---|
2024年3月 | 2週間 | グローバル | 標準的な期間 |
2024年6月 | 3週間 | グローバル | やや長期 |
2024年8月 | 6週間以上 | グローバル | 異例の長期継続 |
2025年8月(現在) | 4週間以上継続中 | グローバル | 継続中・異常 |
スパム更新長期化の考えられる原因

専門家による仮説:
- AI生成コンテンツの複雑化
- ChatGPT等の普及により判定困難なスパムが増加
- 従来の検出アルゴリズムでは対応困難
- 段階的な調整が必要
- 検索結果の品質向上への取り組み
- より精密なスパム検出システムの導入
- 偽陽性(誤検出)の最小化
- 慎重な段階的展開
- 技術的複雑性の増大
- マルチモーダル検索への対応
- リアルタイム更新システムの調整
- 大規模システムの安定性確保
業界への影響と対応策
SEO担当者への実践的アドバイス

現在の状況下での推奨対応:
対応項目 | 優先度 | 具体的施策 |
---|---|---|
データ解釈の慎重化 | 最高 |
• 複数指標での総合判断
• 短期変動への過剰反応回避 • トレンド分析の重視 |
レポーティング調整 | 高 |
• 異常状況の明記
• 代替指標の活用 • 長期視点での評価 |
戦略見直し | 中 |
• 品質重視の継続
• 技術的SEOの強化 • ユーザー体験の改善 |
推奨する監視項目

重要度の高い監視指標:
- オーガニックトラフィック(Google Analytics)
- GSCよりも正確な実トラフィック
- ユーザー行動の実態把握
- コンバージョンへの影響測定
- 第三者ツールでのランキング確認
- Ahrefs、SEMrush等での独立検証
- 複数キーワードでの総合判断
- 競合サイトとの相対比較
- ブランド検索とダイレクトトラフィック
- サイトの本質的価値測定
- Googleアルゴリズム変動の影響を受けにくい
- 長期的なサイト健全性の指標
Marie Haynesのアルゴリズム更新追跡システム
業界最高レベルの分析精度
Marie Haynes氏のアルゴリズム更新追跡ページは、SEO業界で最も信頼される情報源の一つです。

追跡システムの特徴:
機能 | 詳細 | 価値 |
---|---|---|
リアルタイム監視 | 24時間体制での変動検知 | 即座の異常検出 |
多角的分析 | 複数指標での総合評価 | 正確な影響度判定 |
歴史的データ | 過去の更新との比較分析 | パターン認識と予測 |
業界コミュニティ | 世界中の専門家との情報共有 | 集合知による精度向上 |
今回の追加項目の意味
Marie Haynes氏が「ランキング追跡の騒動」をアルゴリズム更新リストに追加したことは、この現象の重要性を示しています。
なぜ「技術的にはアルゴリズム更新ではない」と断りを入れたのか:
- 正確性への配慮:誤解を避けるための専門家としての責任
- 業界への教育:現象の性質を正しく理解してもらう意図
- 分析の透明性:判断根拠を明確にする専門家倫理
各国SEO専門家の反応
国際的な議論の拡大
この問題は日本だけでなく、世界中のSEO専門家の間で議論が活発化しています。

主要な専門家コメント:
専門家 | 地域 | 主な見解 |
---|---|---|
Barry Schwartz | 米国 | 「Search Engine Roundtableでも類似報告多数」 |
Glenn Gabe | 米国 | 「GSCデータの解釈に注意が必要」 |
Lily Ray | 米国 | 「クライアントレポートでの説明を強化」 |
John Mueller(元Google) | スイス | 「複数データソースでの確認を推奨」 |
日本のSEO業界への影響

日本特有の課題:
- 言語特性による影響:日本語検索での特殊な動き
- 市場特性:Yahoo!検索との相関関係
- 業界成熟度:海外情報への依存度の高さ
- 技術格差:最新情報への対応スピード
技術的分析:何が起こっているのか
推定される技術的原因

考えられるシステム要因:
- インデックス更新の非同期化
- ランキングデータとインプレッションデータの更新タイミングずれ
- リアルタイム検索結果とGSCデータの乖離
- 大規模システムでの一時的不整合
- 検索結果表示ロジックの変更
- SERP(検索結果ページ)レイアウトの調整
- AIOverview等新機能による表示領域変化
- モバイル・デスクトップ表示の最適化
- データ処理パイプラインの調整
- 機械学習モデルの段階的更新
- リアルタイム処理システムの改良
- データ品質向上のための調整
Googleからの公式見解待ち
現在のところ、Googleからこの現象に関する公式見解は発表されていません。

過去の類似事例での対応パターン:
段階 | 期間 | Googleの対応 |
---|---|---|
問題発生 | 0-1週間 | 業界からの報告蓄積 |
調査開始 | 1-2週間 | 内部調査・原因特定 |
公式発表 | 2-4週間 | Twitterまたはブログでの説明 |
修正実施 | 4-8週間 | システム調整・正常化 |
実務的対応指針
緊急対応事項

今すぐ実施すべき対策:
- データ監視体制の強化(24時間以内)
- Google Analytics等の第三者データ重視
- 複数ツールでのクロスチェック
- 異常値の記録・追跡
- クライアント・社内コミュニケーション(48時間以内)
- 現在の状況説明
- 報告書での注意事項明記
- 判断保留事項の整理
- 戦略調整の検討(1週間以内)
- 短期施策の一時停止検討
- 長期戦略の再確認
- 品質重視姿勢の強化
中長期的な対応方針
期間 | 重点施策 | 期待効果 |
---|---|---|
1-2週間 |
• 監視体制の確立
• 代替指標の設定 • チーム内共有体制構築 |
• 状況把握の精度向上
• 混乱の最小化 • 組織的対応力強化 |
1-2ヶ月 |
• 新しい評価基準設定
• ツール・システム見直し • クライアント教育 |
• 正確な成果測定
• 効率的な分析環境 • 信頼関係維持 |
3-6ヶ月 |
• レジリエント戦略構築
• 技術力向上 • 業界動向予測力強化 |
• 変動耐性の向上
• 競争優位性確保 • 先行者利益獲得 |
学ぶべき教訓
SEO業界の成熟度向上
今回の事象は、SEO業界が直面している新たな複雑性を浮き彫りにしています。

重要な気づき:
- データ依存の危険性:単一指標への過度な依存リスク
- 専門家ネットワークの価値:Marie Haynes氏のような権威の重要性
- 適応力の必要性:急速な変化への対応能力
- 透明性の重要性:クライアントとの信頼関係維持
今後のSEO戦略への示唆
- 多角的分析の必要性
- 複数のデータソース活用
- 定性・定量両面での評価
- 短期・長期の両視点維持
- レジリエンス(回復力)の構築
- 変動に強い基盤作り
- 多様化されたトラフィック源
- ブランド力の強化
- 継続的学習の重要性
- 業界動向への敏感さ
- 新技術への適応力
- 専門家ネットワークの構築
今後の展望
予想されるシナリオ

可能性の高いシナリオ:
シナリオ | 確率 | 影響 | 対応策 |
---|---|---|---|
1-2週間で正常化 | 40% | 軽微 | 現状維持・継続監視 |
段階的改善(1-2ヶ月) | 35% | 中程度 | 評価基準の調整 |
新しい仕様として定着 | 20% | 大 | 戦略的見直し必要 |
更なる複雑化 | 5% | 甚大 | 根本的アプローチ変更 |
業界への長期的影響
この事象が示唆する長期的な変化:
- SEOツールの進化:より高度なデータ分析機能
- 専門性の重要性増大:表面的知識では対応困難
- 透明性の価値向上:正直なコミュニケーションの重要性
- 総合力の必要性:技術、分析、コミュニケーション能力
結論:変化の時代のSEO戦略
不確実性を前提とした戦略構築
Marie Haynes氏の警告が示すのは、SEO業界が新たな不確実性の時代に入ったということです。

成功のための新しい原則:
- 柔軟性(Flexibility)
- 急速な変化への適応能力
- 多様な戦略オプションの確保
- 実験・学習の継続
- 透明性(Transparency)
- クライアントとの正直なコミュニケーション
- 不確実性の認識と共有
- 期待値の適切な管理
- 本質追求(Fundamentals)
- ユーザー価値の創出
- 高品質コンテンツの提供
- 技術的な基盤の強化
- 継続学習(Continuous Learning)
- Marie Haynes氏のような専門家のフォロー
- 業界コミュニティへの積極参加
- 最新情報への敏感な反応
最終的な行動指針
Marie Haynes氏の警告から学ぶべき最重要ポイント:
- データの表面的な解釈ではなく、深い分析が必要
- 異常現象を軽視せず、業界全体の動向として捉える
- 単一の指標に依存せず、総合的な判断を行う
- 専門家の知見を積極的に活用する
- 変化を恐れず、学習機会として捉える
今回のランキング追跡異常現象と8月スパム更新の長期継続は、SEO業界に新たな挑戦をもたらしています。しかし、Marie Haynes氏のような権威ある専門家の指導と、業界全体での情報共有により、この困難な時期を乗り越え、より強固で柔軟なSEO戦略を構築することができるでしょう。
重要なのは、この変化を脅威ではなく、SEO専門性を深める機会として捉えることです。真の専門家は、不確実性の中でこそその価値を発揮し、クライアントや組織に確かな価値を提供できるのです。
コメント